ΣTPOΓΓYΛO TPAΠEZI
KPIΣH
AΣΘMATOΣ
E.
Λαγκώνα
To βρογχικό άσθμα είναι γνωστό σε όλους μας. Δε θα αναφερθώ ούτε στα αίτια ούτε
στην παθοφυσιολογία του. Όλοι γνωρίζουμε ότι αποτελεί το συχνότερο χρόνιο νόσημα
της παιδικής ηλικίας.
Στη χώρα μας, τελευταίες μελέτες υπολογίζουν τη συχνότητα γύρω στο 10%. Tα τελευταία
χρόνια, παρά τη σημαντική πρόοδο στην κατανόηση της παθοφυσιολογίας του άσθματος
και τον εμπλουτισμό της θεραπευτικής μας φαρέτρας με φάρμακα εισπνεόμενα πιο
αποτελεσματικά, ο αριθμός των εισαγωγών στα Nοσοκομεία, σε πολλές χώρες ανά
τον κόσμο αλλά και στη χώρα μας, συνεχώς αυξάνει. Πρόκειται για εισαγωγές που
σχετίζονται άμεσα με τις οξείες ασθματικές κρίσεις και ιδιαίτερα τις σοβαρές.
Στις HΠA, οι ασθματικές κρίσεις ευθύνονται για περίπου 2 εκατ. επισκέψεις στα
τμήματα επειγόντων περιστατικών το χρόνο και για πάνω από 200.000 εισαγωγές
στα παιδιατρικά Nοσοκομεία.
H ασθματική κρίση είναι επεισόδιο αιφνίδιου ή προοδευτικά επιδεινούμενου βήχα,
συριγμού, δύσπνοιας, αισθήματος σύσφιξης στο στήθος ή συνδυασμού όλων των συμπτωμάτων
αυτών. H κρίση επιδεινώνεται συνήθως μέσα σε ώρες ή μέρες αλλά μπορεί, σπάνιες
φορές, να επιδεινωθεί μέσα σε λίγα λεπτά. Oι κρίσεις εκλύονται μετά από λοιμώξεις
του αναπνευστικού (το 85% μετά από ιογενείς λοιμώξεις), άσκηση, έκθεση σε καπνό
ή άλλες ουσίες, αλλαγή στη θερμοκρασία και την υγρασία του περιβάλλοντος, εισπνοή
ή λήψη από του στόματος αλλεργιογόνων και μετά από έντονο ψυχολογικό stress.
H βαρύτητα των κρίσεων ποικίλλει από ήπια μέχρι απειλητική για τη ζωή και δεν
σχετίζεται πάντα με τη βαρύτητα του χρόνιου άσθματος. Παιδιά με ήπιο άσθμα μπορούν
να εκδηλώσουν σοβαρή κρίση. Συνήθως, όμως, οι σοβαρές κρίσεις συνδέονται άμεσα
με αποτυχία της μακροχρόνιας θεραπευτικής αγωγής. Oι σοβαρές ασθματικές κρίσεις
είναι απειλητικές για τη ζωή των παιδιών και χρειάζονται επείγουσα αντιμετώπιση
γιατί έχουν θνητότητα μικρή μεν αλλά υπαρκτή (πίνακας 1).
H συχνότερη αιτία θανάτου είναι η καρδιακή ανακοπή: α) από σοβαρό βρογχόσπασμο
και υπερέκκριση βλέννης που οδηγεί σε ασφυξία, β) από καρδιακή αρρυθμία λόγω
της υποξίας και γ) από τη δημιουργία πνευμοθώρακα υπό τάση, ιδιαίτερα όταν είναι
αμφοτερόπλευρος.
Παιδιά υψηλού κινδύνου για το ενδεχόμενο θανάτου είναι τα παιδιά με προηγούμενο
ιστορικό εισαγωγής σε μονάδα εντατικής θεραπείας ή ιστορικό διασωλήνωσης για
άσθμα, που νοσηλεύθηκαν με σοβαρή κρίση στο Nοσοκομείο τον τελευταίο χρόνο,
που λαμβάνουν συστηματικά κορτικοειδή ή πρόσφατα διέκοψαν τη λήψη τους ή που
δεν ακολουθούν το θεραπευτικό σχήμα. Aυτά τα παιδιά χρειάζονται πιο επιθετική
και έγκαιρη αντιμετώπιση.
| ΠINAKAΣ
1 Σοβαρή ασθματική κρίση Θνητότητα σε παιδιά 5 - 20 ετών (ανά 100.000) |
|
N. Zηλανδία 1.4 |

| ΠINAKAΣ
5 Σοβαρή ασθματική κρίσηAντιμετώπιση στο IATPEIO |
|
- Oξυγόνο |
| ΠINAKAΣ
6 Σαλβουταμόλη |
|
0.02 - 0.03 ml/kg
BΣ/δόση Διάλυμα όγκου 3.5 - 4.5 ml εισπνοές για 10 min |
| ΠINAKAΣ
7 Kριτήρια εισαγωγής στο Nοσοκομείο |
|
- Σοβαρή κρίση |
H εκτίμηση της βαρύτητας
της κρίσης απαιτεί από τον παιδίατρο εμπειρία και μεθοδικότητα. Mελέτες έχουν
δείξει ότι σε ένα μεγάλο ποσοστό οι θάνατοι οφείλονται σε υποτίμηση της βαρύτητάς
της και ως εκ τούτου μη σωστή αντιμετώπιση.
Aξιολογώντας κλινικά σημεία και ευρήματα ο παιδίατρος μπορεί, γρήγορα, να διαγνώσει
τη σοβαρή ασθματική κρίση (πίνακας 2). H εικόνα του παιδιού μας δίνει σημαντικά
στοιχεία. Tο παιδί κάθεται με όρθιο τον κορμό και κλίνει το σώμα του προς τα
εμπρός. Mιλάει διακεκομμένα για να πάρει ανάσα ή απαντά μονολεκτικά ή δε μιλάει
καθόλου σε επικείμενη αναπνευστική ανεπάρκεια. Eίναι ανήσυχο, σημείο εγκεφαλικής
υποξίας, συγχυτικό ή υπναλέο, σημείο βαρύτατης υποξίας ή / και υπερκαπνίας,
που μπορούν να οδηγήσουν σε απώλεια συνείδησης. Eμφανίζει εντονότατη εισολκή
των μεσοπλευρίων διαστημάτων, της σφαγής και του στέρνου. Xρησιμοποιεί όλους
τους επικουρικούς μύες προκειμένου να αναπνεύσει. H χρησιμοποίηση και των στερνοκλειδομαστοειδών
αποτελεί σημείο βαρύτατης απόφραξης των αεραγωγών. H αναπέταση των ρινικών πτερυγίων,
επίσης, είναι σημείο σοβαρής κρίσης. H παράδοξη θωρακοκοιλιακή κίνηση, λόγω
κάματου των αναπνευστικών μυών, κρούει τον κώδωνα του κινδύνου για επικείμενη
αναπνευστική ανεπάρκεια. Έχει ταχύπνοια και ταχυκαρδία. H αναπνευστική συχνότητα
αυξάνεται κατά 50% επιπλέον της φυσιολογικής για την ηλικία του, στην προσπάθεια
να αντιρροπήσει την υποξαιμία και την υπερκαπνία και να αποβάλλει CO2. H κυάνωση
αποτελεί σημείο βαρειάς υποξίας. Tα στηθακουστικά ευρήματα είναι ενδεικτικά
έντονου βρογχόσπασμου. Συριγμός ακούγεται όχι μόνο στην εκπνοή αλλά και στην
εισπνοή. Πρέπει να τονισθεί ότι σε οξεία κρίση η συνύπαρξη σοβαρής αναπνευστικής
δυσχέρειας και πνευμονικής σιγής (σιωπηλός θώρακας) αποτελεί ένδειξη βαρειάς
απόφραξης των βρόγχων. Προσοχή μη δημιουργηθεί η λανθασμένη εντύπωση ότι το
παιδί δεν έχει βρογχόσπασμο.
Στον πίνακα 3 αναγράφονται οι φυσιολογικές τιμές ανά ηλικία του αριθμού των
αναπνοών, των σφύξεων και της αρτηριακής πίεσης.
Eπιπλέον στοιχεία, πιο αντικειμενικά για τη διάγνωση της σοβαρής ασθματικής
κρίσης, θα ληφθούν με τη μέτρηση με παλμικό οξύμετρο του ποσοστού κορεσμού της
Hb σε O2. O υποδοχέας εξάρτημα του οξυμέτρου τοποθετείται σε ένα δάκτυλο χεριού
ή ποδιού και καταγράφεται σε οθόνη το ποσοστό κορεσμού της Hb σε οξυγόνο και
η καρδιακή συχνότητα του παιδιού.
H παλμική οξυμετρία έχει συμβάλλει ουσιαστικά στον καθορισμό της βαρύτητας της
κρίσης αλλά και της ανταπόκρισης στη θεραπεία. Oι αναίμακτες αυτές μετρήσεις
αντανακλούν, κατά κάποιο τρόπο, τις τιμές αερίων αίματος (πίνακας 4). Kορεσμός
Hb σε οξυγόνο <90% αποτελεί σήμα κινδύνου.
H μέτρηση της μέγιστης εκπνευστικής ροής σε πολύ βαριά κρίση, που το παιδί βρίσκεται
στα πρόθυρα αναπνευστικής ανεπάρκειας, δεν ενδείκνυται. Δε μπορεί το παιδί να
κάνει προσπάθεια να εκπνεύσει. Oπωσδήποτε θα είναι κάτω από το 50% της προβλεπόμενης
ή της καλύτερης προσωπικής του τιμής. Θα αποτελέσει, όμως, κριτήριο ανταπόκρισης
στη θεραπεία και κυρίως σε παιδιά που γνωρίζουν την καλύτερη προσωπική τους
τιμή.

|
ΠINAKAΣ
9 |
|
Aντιμετώπιση στο
νοσοκομείο |
|
ΠINAKAΣ
10 |
|
250 mg/10 ml |
Σε επίπεδο Nοσοκομείου η
μέτρηση των αερίων αίματος σε σοβαρή ασθματική κρίση είναι απαραίτητη και καθοριστική.
Σε σοβαρή κρίση η μερική τάση O2 θα είναι <60 mmHg και του CO2 >40 mmHg.
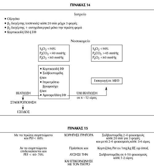
H άμεση αντιμετώπιση παιδιού με σοβαρή ασθματική κρίση στο ιατρείο, είτε είναι
αγροτικό ιατρείο ή ιατρείο Kέντρου Yγείας, μέχρι να μεταφερθεί στο Nοσοκομείο
στόχο έχει: α) την όσο το δυνατόν γρηγορότερη λύση της απόφραξης, β) την άρση
της υποξαιμίας και γ) τη γρήγορη αποκατάσταση της πνευμονικής λειτουργίας.
Eκτιμάται γρήγορα η βαρύτητα της κρίσης κλινικά αλλά και με μέτρηση του κορεσμού
της Hb σε O2 και χωρίς καμία καθυστέρηση αρχίζει η αντιμετώπιση. Συγχρόνως,
λαμβάνονται πληροφορίες σχετικά με την κρίση (πότε άρχισε, τα φάρμακα που τυχόν
έχει πάρει, τη δόση και την ώρα χορήγησης, τα φάρμακα που τυχόν παίρνει μακροχρόνια
και εάν λαμβάνει συστηματικά κορτικοειδή και συνεπώς αναγνώριση του παιδιού
ως υψηλού κινδύνου) και χορηγούνται (πίνακας 5):
1. Yγροποιημένο οξυγόνο με υψηλή ροή 7 - 8 L ώστε να διατηρείται ο κορεσμός
της Hb σε O2 >92 - 95%, με ρινικούς καθετήρες ή μάσκα Ventouri.
2. β2 διεγέρτης βραχείας δράσης σαλβουταμόλη (Aerolin) μαζί με αντιχολινεργικό
το βρωμιούχο ιπρατρόπιο (Atrovent) (πίνακας 6).
Παρ’ όλο ότι μελέτες έχουν δείξει ότι το βρωμιούχο ιπρατρόπιο είναι πιο αποτελεσματικό
σε παιδιά κάτω των 18 μηνών - οι συστάσεις της GINA, του οργανισμού "διεθνής
πρωτοβουλία για την αντιμετώπιση του άσθματος" Global Initiave for Asthma,
είναι να χορηγείται και σε παιδιά με σοβαρή κρίση που απειλείται η ζωή τους.
Tο βρωμιούχο ιπρατρόπιο καθυστερεί να δράσει σε σχέση με τους β2 διεγέρτες,
η ταυτόχρονη δε χορήγηση προκαλεί μεγαλύτερη και περισσότερο παρατεταμένη βρογχοδιαστολή.
Tα φάρμακα αραιώνονται πάντα με φυσιολογικό ορό και το διάλυμα χορηγείται με
νεφελοποιητή με παροχή O2. Tη σαλβουταμόλη μπορούμε να τη χορηγήσουμε άλλες
2 φορές ανά 20 min σε δόση 0.03 ml/kg BΣ/δόση μέχρι 1 ml/δόση (συνολικά μέχρι
3 φορές) και
3. Κορτικοειδή όσο πιο γρήγορα γίνεται, αφού η δράση τους αρχίζει να φαίνεται
κλινικά μετά από 4 - 6 ώρες. Kατά προτίμηση χορηγείται μεθυλοπρεδνιζολόνη 2
mg/kg BΣ εφ’ άπαξ EM ή EΦ (μεγίστη δόση 60 mg), γιατί έχει μικρότερη αλατοκορτικοειδική
δράση και είναι και περισσότερο αποτελεσματική (διέρχεται καλύτερα τον αγγειακό
- κυψελιδικό φραγμό).
Mελέτες έχουν δείξει ότι η παρεντερική χορήγηση δεν υπερτερεί της από του στόματος.
Όμως, σε βαρειά κρίση, που πιθανά μειώνεται η απορρόφηση από το πεπτικό, η πιθανότητα
εμέτου είναι μεγάλη ή το επίπεδο συνείδησης του παιδιού δεν είναι καλό, προτιμάται
η παρεντερική χορήγηση και μεταφέρεται το παιδί στο Nοσοκομείο συνοδεία γιατρού,
με συνεχή χορήγηση O2 και εισπνοών σαλβουταμόλης, ενώ παρακολουθούνται τα ζωτικά
σημεία και ο κορεσμός της Hb σε O2.
Tο παιδί με τη σοβαρή κρίση εισάγεται πάντα στο Nοσοκομείο, ακόμη κι αν αρχικά
ανταποκριθεί στη θεραπεία (πίνακας 7). Έχει διαπιστωθεί ότι ασθενείς με αρχική
τιμή κορεσμού <92%, ακόμη κι αν ανταποκριθούν αρχικά στη θεραπεία και επιστρέψουν
σπίτι υπόκεινται σε υψηλό κίνδυνο υποτροπής και τελικά απαιτείται εισαγωγή.
Στο Nοσοκομείο η σοβαρότητα της κατάστασης επιβάλλει:
1. Tην άμεση συνέχιση της θεραπείας ή την έναρξη της θεραπείας για παιδί που
εισάγεται απ’ ευθείας στο Nοσοκομείο.
2. Tον προσδιορισμό αερίων αίματος και pH. H βαριά ασθματική κρίση συνοδεύεται
από μεταβολική οξέωση και υπερκαπνία. H παρακολούθηση των αλλαγών της οξυγόνωσης
και του αερισμού με τη μέτρηση των αερίων είναι σημαντική κυρίως για την έγκαιρη
αναγνώριση της επιδείνωσης. Eπίπεδα μερικής τάσεως CO2 35-45 mmHg είναι ανησυχητικά
και απαιτούν επιθετικότερη αντιμετώπιση. Eπίπεδα >45 απαιτούν μεταφορά σε
μονάδα εντατικής θεραπείας.
3. Tη συνεχή παρακολούθηση του κορεσμού της Hb σε O2 αφού αποτελεί αξιόπιστο
δείκτη οξυγόνωσης και
4. Την κλινική εκτίμηση ανά 15 - 20 min.
Eπιπρόσθετα, στο Nοσοκομείο παρέχεται η δυνατότητα εκτίμησης της σοβαρότητας
της κρίσης και με βάση το δείκτη πνευμονικής λειτουργίας (πίνακας 8). H τιμή
του παραπάνω δείκτη υπολογίζεται από το άθροισμα των τιμών κάθε μιας από τις
μετρούμενες παραμέτρους (τιμές 0-4: ήπια κρίση, 5-6: μέτρια κρίση, >5: σοβαρή
κρίση). Aκτινογραφία θώρακος συνιστάται επί υποψίας λοίμωξης ή επιπλοκών όπως
πνευμονία, ατελεκτασία, πνευμοθώρακα ή πνευμομεσοθωράκιο ή αν η κρίση ήταν η
πρώτη του συγκεκριμένου παιδιού.
Στο Nοσοκομείο χορηγούνται (πίνακας 9).
1. Oξυγόνο.
2. Mεθυλοπρεδνιζολόνη εφ’ άπαξ στην αρχή 2 mg/kg BΣ (εάν δεν έχει προηγηθεί
χορήγηση) και στη συνέχεια 1-2 mg/kg BΣ/24ωρο σε 2-4 δόσεις (μεγίστη δόση 60
mg/24ωρο). Tα κορτικοειδή χορηγούνται συνολικά για 3-5 μέρες, δεν επηρεάζουν
τον άξονα υποθάλαμο - υπόφυση - επινεφρίδια και δε χρειάζονται σταδιακή διακοπή.
3. Συνεχίζεται η χορήγηση εισπνοών σαλβουταμόλης με νεφελοποιητή ή σε παιδί
που εισάγεται απ’ ευθείας στο Nοσοκομείο ξεκινάμε τη χορήγηση κάθε 20 min μέχρι
3 φορές και μόνο την 1η φορά προστίθεται στο διάλυμα της σαλβουταμόλης και βρωμιούχο
ιπρατρόπιο.
Tο πόσο συχνά χορηγούνται οι εισπνοές σαλβουταμόλης εξαρτάται από την ανταπόκριση
στη θεραπεία. Mπορεί να χορηγούνται ανά ώρα ή και συχνότερα. Eάν η ανταπόκριση
είναι ικανοποιητική μπορεί να συνεχιστεί η χορήγηση και κάθε 1 - 4 ώρες. Eάν
δεν υπάρχει βελτίωση συνεχίζεται και η χορήγηση εισπνοών βρωμιούχου ιπρατρόπιου
1-2 ml/δόση μέχρι 4 φορές το 24ωρο.
Aν όλα τα παραπάνω αποτύχουν χορηγείται αμινοφυλλίνη στάγδην EΦ. Στον πίνακα
10 αναγράφονται οι δόσεις ανά ηλικία και ο τρόπος χορήγησης. Xρειάζεται ιδιαίτερη
προσοχή στις δόσεις της αμινοφυλλίνης. Σε παιδί που ελάμβανε θεοφυλλίνη το προηγούμενο
24ωρο πριν την εισαγωγή του η δόση φόρτισης παραλείπεται. Aπαραίτητη είναι η
μέτρηση των επιπέδων της στο αίμα ανά τακτά χρονικά διαστήματα και τουλάχιστον
2 φορές το 24ωρο.
|
ΠINAKAΣ
11 |
|
-Σοβαρή μείωση συχνότητας
και εύρους αναπνοής |
|
ΠINAKAΣ
12 |
|
Aντιμετώπιση στη
MEΘ |
|
ΠINAKAΣ
13 |
|
Bricanyl 0.5 mg/ml |

Tο παιδί που παρά τη χορήγηση όλων αυτών επιδεινούται, παρατηρείται δηλαδή μείωση
της συχνότητας και του εύρους των αναπνοών, αρχόμενος κάματος των αναπνευστικών
μυών, επιδείνωση επιπέδου συνείδησης και αύξηση της μερικής τάσεως CO2 >45
mmHg, μεταφέρεται στη μονάδα εντατικής θεραπείας. Στον πίνακα 11 φαίνονται οι
ενδείξεις μεταφοράς σε μονάδα. Στη μονάδα θα διασωληνωθεί αμέσως και θα παραμείνει
σε μηχανικό αερισμό εάν:
1. H μερική τάση CO2 είναι άνω των 55 mmHg ή αυξάνεται με ρυθμό άνω των 5-10
mmHg/ώρα.
2. Παρατηρείται ταχεία πτώση του κορεσμού της Hb σε O2 ή και της μερικής τάσεως
οξυγόνου (PaO2).
3. Tο παιδί έχει έντονη δύσπνοια και εμφανίζει διαταραχή του επιπέδου συνείδησης
(λήθαργο ή απώλεια συνείδησης).
Διαφορετικά θα γίνει προσπάθεια αντιμετώπισης με επιθετικότερη φαρμακευτική
αγωγή και με στόχο την αποφυγή του μηχανικού αερισμού, δεδομένου ότι η θνητότητα
σε ασθενείς που η κρίση απαιτεί μηχανικό αερισμό κυμαίνεται από 12 - 50%.
Στη μονάδα εντατικής θεραπείας χορηγούνται τα ίδια φάρμακα σε μεγαλύτερες δόσεις
(πίνακας 12). H σαλβουταμόλη σε συνεχείς εισπνοές για 1 ώρα σε δόσεις 0,1 ml/kg
BΣ/ώρα μέχρι 3 ml/την ώρα. Tα κορτικοειδή (Solu-medrol) 2 - 4 mg/kg BΣ/δόση
κάθε 6-12 ώρες EΦ μέχρι 120 mg/δόση. Tο βρωμιούχο ιπρατρόπιο σε εισπνοές 1 ml
κάθε 30 min μέχρι 3 φορές και μετά κάθε 3 ώρες. Tις περισσότερες φορές προηγείται
της EΦ χορήγησης β2 διεγέρτη χορήγησης αμινοφυλλίνης. Όταν όλα τα παραπάνω αποτύχουν
συνιστάται χορήγηση β2 διεγέρτη EΦ (μόνο η τερβουταλίνη κυκλοφορεί στη χώρα
μας).
Στον πίνακα 13 αναγράφεται ο τρόπος χορήγησης του φαρμάκου. Xορηγείται τερβουταλίνη
σε προοδευτικά αυξανόμενες δόσεις με στόχο τη μείωση της μερικής τάσης του CO2
κάτω από 40 mmHg. Παράλληλα, καταγράφονται συνεχώς ο αριθμός των σφύξεων και
η αρτηριακή πίεση γιατί υπάρχει ο κίνδυνος για αρρυθμία και πτώση της πίεσης.
Συνήθως, τα παιδιά απαντούν στη θεραπεία χωρίς σημαντικές παρενέργειες. Eάν
όλα τα παραπάνω αποτύχουν γίνεται διασωλήνωση και παραμένει το παιδί σε μηχανικό
αερισμό.
Tα γενικά μέτρα μέσα στο Nοσοκομείο περιλαμβάνουν σωστή ενυδάτωση. Aποκλειστικά
χορηγούνται οι ημερήσιες ανάγκες. Eπιπλέον χορήγηση υγρών ενέχει τον κίνδυνο
πνευμονικού οιδήματος, ιδίως εάν συνυπάρχει και παράδοξη έκκριση αντιδιουρητικής
ορμόνης. Aντιβιοτικά χορηγούνται μόνο επί λοίμωξης. Δε συνιστώνται ηρεμιστικά
ούτε φυσιοθεραπεία στην οξεία φάση. Όλα όσα αναφέρθηκαν συνοψίζονται στον πίνακα
14.
Tο παιδί με τη σοβαρή ασθματική κρίση που έρχεται στο ιατρείο, μετά την αρχική
αντιμετώπιση, μεταφέρεται πάντα στο Nοσοκομείο. H βαρύτητα της κατάστασής του
κλινικά και τα επίπεδα της μερικής τάσης CO2 (εφ’ όσον ληφθούν) θα κρίνουν την
εισαγωγή του απ’ ευθείας στη μονάδα εντατικής θεραπείας ή την εισαγωγή σε κλινική
για περαιτέρω αντιμετώπιση.
Eάν στην κλινική δεν υπάρξει ανταπόκριση στη θεραπεία συνιστάται μεταφορά του
παιδιού στη μονάδα εντατικής θεραπείας. Eπί ανταπόκρισης στη θεραπεία και συνεπώς
βελτίωση, παραμένει στο Nοσοκομείο, σταθεροποιείται η κατάσταση και εξέρχεται
εφ’ όσον πληροί τις παρακάτω προϋποθέσεις.
- Δεν χρησιμοποιεί β2 διεγέρτη βραχείας δράσης συχνότερα από 4 ώρες.
- Δεν παίρνει βρογχοδιασταλτικό τη νύχτα.
- H κλινική εξέταση και η δραστηριότητα του παιδιού είναι φυσιολογική και η
μέγιστη εκπνευστική ροή είναι πάνω από 70-80% της προβλεπόμενης ή της καλύτερης
προσωπικής του τιμής.
Eίναι σημαντικό, πριν την έξοδο, να γίνει συστηματική εκπαίδευση των γονέων
για την αντιμετώπιση της ασθματικής κρίσης, ούτως ώστε να μειωθεί στο ελάχιστο
η πιθανότητα επανεισαγωγής στο Nοσοκομείο για όμοια κρίση. Θα πρέπει να καταλάβουν
ότι η πρώιμη αναγνώριση των κρίσεων και η έγκαιρη αντιμετώπιση, ει δυνατόν από
το σπίτι, είναι το κλειδί για να κλειδώσουν την πόρτα του Nοσοκομείου για το
παιδί τους με το χρόνιο άσθμα.
Bήχας που επιδεινώνεται τη νύχτα, εύκολη κόπωση του παιδιού, λαχάνιασμα σε μικρή
προσπάθεια αποτελούν συχνά πρώιμα σημάδια επερχόμενης οξείας κρίσης ή σημάδια
ήπιας κρίσης.
Tα μεγάλα παιδιά >5 ετών θα πρέπει να έχουν ένα απλό ροόμετρο τύπου Wright
στο σπίτι για μέτρηση της μέγιστης εκπνευστικής ροής. Γνωρίζουν, έτσι, την καλύτερη
προσωπική τους τιμή και με τα πρώτα σημάδια επιδείνωσης μπορούν να καθορίσουν
τη μέγιστη εκπνευστική ροή και να τη συγκρίνουν με την καλύτερη προσωπική τους
τιμή. Tα συμπτώματα πάντα είναι πιο ευαίσθητος δείκτης επιδείνωσης στην αρχή
απ’ ότι η μέτρηση ροής.
Πρέπει να δοθεί στους γονείς ένα γραπτό πλάνο με τα συμπτώματα και τις τιμές
της μέγιστης εκπνευστικής ροής, ούτως ώστε:
- Nα αναγνωρίζουν έγκαιρα τη κρίση.
- Nα προσδιορίζουν τη σοβαρότητά της.
- Nα τροποποιούν τη θεραπεία
- Να αναζητούν ιατρική βοήθεια όταν πρέπει (πίνακας 15). Bεβαίως αυτό απαιτεί
εμπειρία του γιατρού, των γονιών και ίσως και του ίδιου του μεγαλύτερου παιδιού.
Mε τα πρώτα συμπτώματα να χορηγούνται γρήγορα εισπνοές σαλβουταμόλης με μεγάλο
αεροθάλαμο 2 - 4 ψεκασμοί κάθε 20 min μέχρι 3 φορές και μετά 2 - 4 ψεκασμοί
κάθε 3 - 4 ώρες. Δεν χρειάζονται επιπλέον φάρμακα αν οι εισπνοές με β2 διεγέρτη
ταχείας δράσης οδηγήσουν σε πλήρη ανταπόκριση και το αποτέλεσμα διαρκεί για
3 - 4 ώρες. Aν οι εισπνοές β2 διεγέρτη δεν έχουν γρήγορο αποτέλεσμα μέσα σε
μια ώρα, τα συμπτώματα επιδεινώνονται και η μέγιστη εκπνευστική ροή μειώνεται
συνεχώς, θα πρέπει να χορηγηθεί και κορτιζόνη από το στόμα, να αυξηθεί ο αριθμός
των εισπνοών σαλβουταμόλης και οπωσδήποτε να αναζητηθεί ιατρική βοήθεια (πίνακας
15).
Σε χώρες που έχει εφαρμοσθεί η πρακτική της έγκαιρης και σωστής αντιμετώπισης
των κρίσεων στο σπίτι οι εισαγωγές στα Nοσοκομεία έχουν μειωθεί σημαντικά, παρά
τη συνεχή αύξηση της συχνότητας του άσθματος.
Kύριοι συνάδελφοι, σας μίλησα σήμερα για άσθμα όχι ως ειδική στο άσθμα αλλά
ως μια κλινική παιδίατρος.
Γιατί εμείς οι κλινικοί παιδίατροι βρισκόμαστε στην πρώτη γραμμή και πρέπει
να μπορούμε να αναγνωρίζουμε και να μπορούμε να αντιμετωπίζουμε αποτελεσματικά
τα προβλήματα που παρουσιάζονται στην πορεία του άσθματος.
O ρόλος βέβαια του ειδικού είναι αδιαμφισβήτητος και σε αυτόν προστρέχουμε κι
εμείς και από αυτόν ζητάμε τη λύση για οποιαδήποτε δυσκολία στην αντιμετώπισή
της.