Η ανακάλυψη των ορμονών της ωοθήκης

Σ.I. Mανταλενάκης

Aλληλογραφία: Σ.I. Mανταλενάκης Λ. Mεγάλου Aλεξάνδρου 23 54640 Θεσσαλονίκη
Tel/fax: +302310/814127 E-mail: sergmant@otenet.gr

Η ωοθήκη, ο μεικτός αυτός ενδοκρινής αδένας, η αστείρευτη αυτή πηγή αναπαραγωγής του ζωικού βασιλείου, που συνδυάζει την ωρίμανση των αποθηκευμένων ωαρίων μαζί με την ανάπτυξη του ορμονοπαραγωγού ωοθυλακικού σχηματισμού άργησε να γίνει κατανοητός από τους επιστήμονες. Ακόμη και ο μεγάλος φυσιοδίφης Αριστοτέλης (384-322π.Χ.) δεν αντιλήφθηκε τη βιολογική της σημασία. Περιγράφεται ανατομικά, για πρώτη φορά, τον 3ο π.Χ. αιώνα από τον Έλληνα ανατόμο Ηρόφιλο από την Χαλκηδόνα, έναν από τους ιδρυτές της Ιατρικής Σχολής της Αλεξάνδρειας, ο οποίος της δίνει το όνομα θηλυκός όρχις, ενώ μερικούς αιώνες αργότερα, ο πατέρας της μαιευτικής και γυναικολογίας Σωρανός ο Εφέσιος (98-138 μ.Χ.), ονομάζει τις ωοθήκες διδύμους. Η ωοθήκη περιγράφεται και πάλι περίπου είκοσι αιώνες μετά την ιστορικά αποδεδειγμένη πρώτη της περιγραφή από τον Ηρόφιλο. Κατά τον 17ο αιώνα, ο διάσημος Ιταλός επιστήμονας Marcello Malpighi (1628-1694), καθηγητής του Πανεπιστημίου της Bologna και πατέρας της μικροσκοπικής ανατομίας, διαπιστώνει την ανατομική ύπαρξη του ωχρού σωματίου (corpus luteum) και επισημαίνει τον πιθανό του ρόλο στην αναπαραγωγή. Περίπου 100 χρόνια νωρίτερα η ύπαρξη της ωοθήκης έχει ήδη γίνει γνωστή, και από τον μεγάλο Φλαμανδό ανατόμο Andrea Vesalius περιγράφεται ως υποκίτρινος σχηματισμός. Στο μοναδικό για την εποχή εκείνη σύγγραμμά του, De humani corporis fabrica, που εκδόθηκε το 1543, χαρακτηρίζει το ωοθυλάκιο σαν επιδιδυμίδα του γυναικείου όρχι.(1) O τελευταίος σε ανατομή μιας 18χρονης κοπέλας, το 1553 στις Βρυξέλες, αρχίζει την περιγραφή του σχετικά με την ωοθήκη λέγοντας ότι με τη συμπίεσή της εκρέει ένα θαυμαστό λευκό και μερικές φορές κιτρινωπό υγρό υπό μορφή πίδακα.
Αυτός όμως που περιέγραψε λεπτομερώς, για την εποχή εκείνη, την ανατομία της ωοθήκης και των ωαγωγών ήταν ο Regnier de Graaf (1641-1673) (εικόνα 1). Το 1672, σε μια ενδιαφέρουσα δημοσίευσή του με πολυάριθμες εικόνες και πίνακες (εικόνες 2-5), ο προαναφερθείς Ολλανδός ιατρός περιγράφει λεπτομερώς το ωοθυλάκιο και συσχετίζει το ωχρό σωμάτιο με την αναπαραγωγική λειτουργία, και λανθασμένα υποστηρίζει ότι αυτό αποτελεί το ωάριο.(2) Ένα λάθος που διορθώθηκε πολύ αργότερα, το 1827, από τον Carl von Baer (1792-1876) (εικόνα 6), ο οποίος ανακάλυψε το ωάριο των θηλαστικών. Επίσης, πρέπει να αναφερθεί ότι ο μεγάλος φυσιολόγος Albrecht von Haller (1708-1777) τίμησε τον De Graaf προτείνοντας το όνομα «γρααφιανά » για την ονομασία των ωοθυλακίων. Οι μεγάλοι ανατόμοι Andreas Vesalius (1514-1564), Gabriele Fallopius (1523-1562), αλλά και ο διάδοχος του τελευταίου στην έδρα της ανατομίας του Πανεπιστημίου της Padova, Geronimo Fabricius (1537-1619) (εικόνα 7), χρησιμοποιούσαν για την ωοθήκη το όνομα γυναικείος όρχις. Τον όρο ovarium τον χρησιμοποίησε ο Fabricius μόνο για την ωοθήκη της όρνιθας, ενώ στο σύγγραμμά του De formatu foetu (1604) περιλαμβάνει μια απεικόνιση ωοθυλακίου γουρούνας, που θεωρείται χρονολογικά ως η πρώτη εικονογράφηση.
Χρειάστηκαν άλλοι τρεις αιώνες για να φτάσουμε στην πλήρη μακροσκοπική και μικροσκοπική περιγραφή του βασικού αυτού μεικτού αδένα της γυναικείας αναπαραγωγής, που πήρε τελικά το όνομα ωοθήκη (ovarium-ovaire-ovary-ovarien).

1. 2.

Eικόνα 1. Regnier de Graaf (1641-1673).
Eικόνα 2. Εξώφυλλο δημοσίευσης de Graaf (1672).

Η πιθανή ενδοκρινική δράση των γεννητικών αδένων αναφέρεται για πρώτη φορά το 1849 από τον Α. Berthold, ο οποίος διαπίστωσε ότι η εμφύτευση όρχεως σε ευνουχισμένους πετεινούς μπορούσε να διατηρήσει τα βασικά τους χαρακτηριστικά.(3) Ο γνωστός Γάλλος φυσιολόγος Charle Edouard Brown-Sequard (1817-1898) υποστήριξε, με πειράματα σε ζώα, την ύπαρξη ωοθηκικών ορμονών, χωρίς όμως να παρουσιάσει χειροπιαστές αποδείξεις για αυτές. Είχε υποστηρίξει σε προηγούμενες εργασίες του ότι τα εκχυλίσματα του όρχεως ασκούσαν ανανεωτική επίδραση στον ανδρικό οργανισμό. Το 1890 δημοσίευσε τα αποτελέσματα από την υποδόρια χορήγηση υδατικών εκχυλισμάτων των ωοθηκών των ζώων σε γυναίκες, τα οποία τελικά δεν φάνηκε να εμφανίζουν κάποια αποτελεσματικότητα.(4) Πιθανότατα για την μη αποτελεσματικότητά τους υπεύθυνο είναι το νερό που χρησιμοποίησε ως διαλυτικό μέσο. Το 1896, νέος τότε και ενθουσιώδης, ο Βιεννέζος γυναικολόγος Emil Knauer (1867-1935), αφού αφαίρεσε τις ωοθήκες από κονίκλους, στη συνέχεια πέτυχε στα ωοθηκεκτομηθέντα ζώα να αναστείλει την ατροφία της μήτρας τους με την εμφύτευση σε αυτά μοσχευμάτων ωοθήκης.(5) Αργότερα, ως καθηγητής της γυναικολογίας στο Πανεπιστήμιο του Graz (1903-1934) είχε την ευκαιρία να παρακολουθήσει και να συμμετάσχει ενεργά στην εξέλιξη ως προς την ανακάλυψη των οιστρογόνων. Το 1900, ο καθηγητής της γυναικολογίας του Πανεπιστημίου της Βιέννης Josef von Halban (εικόνα 8) (1867-1935) κατάληξε στο συμπέρασμα ότι οι ωοθήκες περιέχουν ουσίες πρωταρχικές για την ανάπτυξη και τη διατήρηση των γεννητικών οργάνων και των μαζικών αδένων.(6)
Ο όρος ορμόνες εισήχθη από τους Bayliss και Starling τo 1904. Η λέξη ορμόνη προέρχεται από το ελληνικό ρήμα «ορμάω». Οι προαναφερθέντες ερευνητές καθορίζουν ως εξής την εννοιολογική σημασία του όρου: «ορμόνη είναι μια ενεργός ουσία που εκκρίνεται χωρίς αγωγό από τους ενδοκρινείς αδένες απευθείας στο αίμα ή στους ιστούς».(7) Το 1905, οι Marshall και Jolly κατηγορηματικά δήλωναν ότι η ωοθήκη αποτελεί όργανο έσω έκκρισης που προκαλεί την εμμηνορρυσία στη γυναίκα και τον οργασμό στα ζώα, ενώ το ωχρό σωμάτιο παράγει περαιτέρω έκκριση, πρωταρχικής σημασίας για την εμφύτευση και την ανάπτυξη του εμβρύου.(8) Το 1909, οι Γάλλοι Paul Bouin και Paul Ancel δημοσιεύουν ενδιαφέρουσες πειραματικές αποδείξεις για τη φυσιολογική δράση του ωχρού σωματίου, αλλά και για τη δράση του στη μήτρα.(9) Μετά το 1910 δεν υπήρχε καμιά αμφιβολία σχετικά με την ύπαρξη ορμονών που εκκρίνονταν από τις γονάδες, χωρίς όμως να υπάρχει σαφής πειραματική απόδειξη.

3. 4.

Eικόνα 3. Εσώφυλλο δημοσίευσης de Graaf (1672).
Eικόνα 4. Απεικόνιση ωοθήκης Pegnier de Graaf (1672).

5. 6.

Eικόνα 5. Απεικόνιση σαλπίγγων. Για πρώτη φορά εμφανίζονται αποφραγμένες και με φίμωση.
Eικόνα 6. Carl von Baer (1792-1876).

7. 8.

Eικόνα 7. Gabriele Fallopius (1523-1562).
Eικόνα 8. Josef von Halban (1867-1935).


Μεταξύ των ετών 1911 και 1918 διάφοροι ερευνητές στην Ευρώπη και τις ΗΠΑ προσπάθησαν να παράγουν εκχυλίσματα ωοθηκών με την τεχνική της διάλυσης των λιπιδίων. Ο Γάλλος Henrie Iscovesco, το 1912, δημοσίευσε πρώτος την ανακάλυψη του εκχυλίσματος ωοθήκης που περιείχε οιστρογόνο. Ο Iscovesco, που ασκούσε τη Γυναικολογία στο Παρίσι, χορηγούσε θεραπευτικά σε ασθενείς με προβλήματα δυσμηνόρροιας και αμηνόρροιας το ωοθηκικό αυτό σκεύασμα που παρήγαγε, με το όνομα «gynocrinol».(10) Το 1917, ο Charles R. Stockard (1879-1939) με τον Γεώργιο Παπανικολάου (1883-1962), στο Τμήμα Ανατομίας του Ιατρικού Κολεγίου του Πανεπιστημίου Cornell της Νέας Υόρκης (εικόνες 9-11), μελέτησαν τις κυκλικές μεταβολές στο κολπικό επιθήλιο των ινδικών χοιριδίων υπό την επίδραση των ωοθηκικών ορμονών. Μια μέθοδος που γρήγορα επεκτάθηκε και στη γυναίκα, και έτσι με τα κυτταρολογικά επιχρίσματα μπορούσε να πραγματοποιηθεί ο ορμονολογικός έλεγχος του γεννητικού κύκλου.(11) Το 1923, ο Edgar Allen (1892-1943), τότε αναπληρωτής καθηγητής στο τμήμα ανατομίας του Πανεπιστημίου George Washington και κατόπιν καθηγητής της ανατομίας στο Πανεπιστήμιο του Missouri (εικόνα 12), και ο Edward Doisy (1893-1986), καθηγητής της βιοχημείας στο George Washington (εικόνα 13), ανακοινώνουν προκαταρτικά ευρήματα για την εντόπιση, την εξαγωγή, τον μερικό καθαρισμό και τη βιολογική δράση κάποιας ωοθηκικής ορμόνης σε πειραματόζωα.(12) Oι προαναφερθέντες ερευνητές υποστήριξαν ότι η δραστική ουσία που είχαν απομονώσει προερχόταν από τα ωοθυλάκια και ιδιαίτερα από τη φάση της ωρίμανσής τους, και πιθανόν η δραστική αυτή ουσία να ήταν κοινή σε όλα τα θηλυκά θηλαστικά. Ο Doisy πρότεινε ως όνομα της δραστικής αυτής ουσίας το theelin, από την ελληνική λέξη «θήλυ», ενώ αργότερα προτάθηκαν και άλλοι όροι που χρησιμοποιούντο από άλλους ερευνητές, όπως feminine, folliculin, menformin και progynon. Το 1926, οι Parkes και Bellerby πρότειναν το όνομα oestrin από την ελληνική λέξη «οίστρος».(13)

9. 10.

Eικόνα 9. Γεώργιος Παπανικολάου (1917, Νέα Υόρκη).
Eικόνα 10. Ο Γεώργιος Παπανικολάου μαζί με τον C. Stockard και τα υπόλοιπα μέλη του Τμήματος Ανατομίας του Πανεπιστημίου Cornell.

11. 12.

Eικόνα 11. Ο Γεώργιος Παπανικολάου με τήβεννο σε πανεπιστημιακή εκδήλωση.
Eικόνα 12. Edgar Allen (1892-1943).


Τελικά η εξαγωγή του οιστρογόνου από τον ωοθηκικό ιστό αποδείχθηκε δύσκολη εργασία και πέρασαν αρκετά χρόνια για την πραγματοποίησή της. Στο μεταξύ, το 1926 οι Loewe και Lange ανακάλυψαν την ύπαρξη κάποιας οιστρογονικής ουσίας στα ούρα γυναικών,(14) ενώ το 1927 ο Γερμανοεβραίος Sellman Ascheim (1878-1965) (εικόνα 14) διαπιστώνει την ύπαρξη μεγάλης ποσότητος οιστρογόνων στα ούρα εγκύων γυναικών.(15) «Με διαφορά στήθους» από τον πρωτοπόρο Αμερικανό συνάδερφό του Edward Doisy, ο Γερμανός χημικός Adolf Butenandt (εικόνα 15), στο Gottingen, το 1929 δημοσιεύει τα αποτελέσματα της έρευνάς του «progynon», η γυναικεία ορμόνη καθοριστική του φύλου σε κρυσταλλική μορφή(16). O Doisy και οι συνεργάτες του απαντούν με ανακοίνωσή τους στο 13ο Διεθνές Συνέδριο Φυσιολογίας στη Βοστόνη στις 23 Αυγούστου του 1929, «Aπομόνωση της Folliculin από τα ούρα εγκύου γυναικός», όπου στα πρακτικά του συνεδρίου δημοσιεύεται περίληψη της εργασίας τους.(17) Το 1930 δημοσιεύεται η εργασία τους με τίτλο «Παρασκευή κρυσταλλικής ωοθηκικής ορμόνης από ούρα εγκύων γυναικών».(18) Oι Butendandt και Doisy, σε ευγενική άμιλλα, απομονώνουν σχεδόν συγχρόνως την ίδια ορμόνη, που είναι εκείνη η οποία αργότερα ονομάστηκε οιστρόνη. Και οι δύο ερευνητές παρουσιάζουν στην επιστημονική κοινότητα τον χημικό τύπο της ουσίας που απομονώθηκε «C18H22O2». Την ίδια χρονιά, άλλες δύο ομάδες ερευνητών απομονώνουν την οιστρόνη, οι Digenmanse, DeJonge, Kober και Laquer στο Amsterdam, και οι DΥ Amour και Gustavson στο Denver του Colorado. Ακολουθεί η ανακάλυψη της οιστριόλης, της χαρακτηριστικής ορμόνης της εγκυμοσύνης από τον Guy Frederic Marrian, το 1930, στο Λονδίνο.(19) Τέλος, το 1936 από το εργαστήριο του Doisy στην Ιατρική Σχολή του Πανεπιστημίου George Washington απομονώνεται σε κρυσταλλική μορφή το πιο ισχυρό βιολογικά οιστρογόνο, η 17 β-οιστραδιόλη, από τον συνεργάτη του McCorquodile.(20) Με την ανακάλυψη αυτή ολοκληρώνεται η απομόνωση των τριών κλασικών οιστρογόνων, οιστρόνης (Ε1), οιστραδιόλης (Ε2) και οιστριόλης (Ε3) στην κρυσταλλική τους μορφή (εικόνα 16).

13. 14.

Eικόνα 13. Edward Doisy (1893-1986).
Eικόνα 14. Sellmar Ascheim (1878-1865).

15. 16.

Eικόνα 15. Adolf Butenandt (1903-1995).
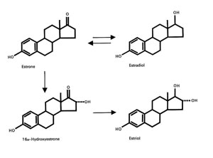
Eικόνα 16. Η οδός μεταβολισμού των τριών κλασικών οιστρογόνων.

17. 18.

Eικόνα 17. Ludwig Fraenkel.
Eικόνα 18. Δημοσίευση Fraenkel (1903).


Παράλληλα, το 1936 η επιτροπή της Φαρμακολογίας και Χημείας της Αμερικανικής Ιατρικής Εταιρείας υιοθετεί τον όρο οιστρογόνα για τις φαρμακευτικές ουσίες που προκαλούν το φαινόμενο του οίστρου στα πειραματόζωα, και έτσι η ονομασία καθιερώνεται διεθνώς. Το 1939 απονέμεται το βραβείο Νόμπελ Χημείας στον διάσημο Γερμανό χημικό Adolf Friedrich Johann Butendandt (1903-1995), για την εργασία του στις γεννητικές ορμόνες, από κοινού με τον Leopold Ruzicka, για τα πολυμεθυλένια. Αξίζει να αναφερθεί ότι ο Butendandt είχε απομονώσει σε κρυσταλλική μορφή και την ορμόνη των όρχεων τεστοστερόνη, το 1931. Ο Butendandt, υπό την πίεση του Ναζιστικού καθεστώτος αποποιείται το βραβείο, αλλά τελικά το παίρνει δέκα χρόνια αργότερα, το 1949, μετά τον πόλεμο. Ο Butendandt το 1933-1936 διορίζεται καθηγητής στην Ανώτερη Τεχνική Σχολή στο Danzig, το 1936 τοποθετείται καθηγητής στο Πανεπιστήμιο του Βερολίνου και Διευθυντής στο Ινστιτούτο Χημείας Max Planck στο Βερολίνο, ενώ το 1945-56 γίνεται καθηγητής στο Τubiggen. Από το 1956-1960 αναγορεύεται καθηγητής στο Πανεπιστήμιο του Μονάχου και διευθυντής του Ινστιτούτου Βιοχημείας στο ίδιο Πανεπιστήμιο. Το 1943 έρχεται η σειρά του Edward Adelbert Doisy (1893-1986) να τιμηθεί με το βραβείο Νόμπελ Φυσιολογίας και Ιατρικής, που το μοιράζεται με τον Δανό Henrik Dam για τη συμβολή τους στην ανακάλυψη της βιταμίνης Κ.

19. 20.

Eικόνα 19. Robert Meyer (1864-1947).
Eικόνα 20. Robert Schršder (1884-1959).

21. 22.

Eικόνα 21. O Robert Schršder και το επιτελείο του (1η Ιουλίου 1925).
Eικόνα 22. H. Knaus (1892-1970).

Στο τέλος της γόνιμης δεκαετίας του 1930 έρχεται η εποχή της παρασκευής των συνθετικών οιστρογόνων. Το πρώτο συνθετικό οιστρογόνο, με το όνομα στιλβεστρόλη, παρασκευάζεται το 1938 στη Μ. Βρετανία από τον Edward Charles Dodds,(21) στο Νοσοκομείο Middle Essex του Λονδίνου. Ακολουθεί η συνθετική παραγωγή της αιθινυλοιστραδιόλης και άλλων συνθετικών παραγώγων. Έτσι δρομολογείται η βιομηχανική παραγωγή των δραστικών αυτών χημικών ενώσεων, ενώ ανατέλλει η εποχή της ευρείας χρήσης των οιστρογόνων, όπως και της ανάπτυξης των ποικίλων θεραπευτικών τους εφαρμογών.
Η προγεστερόνη, η άλλη ορμόνη που ρυθμίζει και υποστηρίζει την αναπαραγωγική λειτουργία και συμβάλλει στην εγκατάσταση του γονιμοποιημένου ωαρίου και στη διατήρηση της κύησης, μελετήθηκε σχεδόν παράλληλα με τα οιστρογόνα της ωοθήκης.
Το 1863, ο διάσημος Γερμανός βιολόγος Edward Pfluger, μελετώντας τον μηχανισμό της εμμηνορρυσίας υποστηρίζει, σωστά, ότι στη θέση του ραγέντος ωοθυλακίου αναπτύσσεται το ωχρό σωμάτιο.(22) Επίσης, το 1898 ο Γάλλος ερευνητής από το Νανσύ, Louis -Auguste Prenan δημοσίευσε ότι το ωχρό σωμάτιο αποτελούσε αδένα που εμφάνιζε εσωτερική έκκριση και αναφέρεται στην πιθανή θεραπευτική του δράση.(23) Το 1901, ο Ludwig Fraenkel (εικόνα 17) μαζί με τον Cohn στη Γερμανία(24) και ο Vilhelm Magnus στη Νορβηγία,(25) δουλεύοντας ανεξάρτητα, απέδειξαν ότι τα ωχρά σωμάτια υποστηρίζουν την εξέλιξη της εγκυμοσύνης και η εξαίρεσή τους στους κονίκλους οδηγεί στην αποβολή ή στην απορρόφηση των εμβρύων.

23. 24.

Eικόνα 23. George Washington Corner (1889-1981).
Eικόνα 24. Willard Myron Allen (1904-1993).


Ο Magnus τονίζει ότι η εξαίρεση των ωχρών σωματίων δεν οδηγεί στην ατροφία της μήτρας, γεγονός που του επιτρέπει να συμπεράνει ότι εκκρίνεται και άλλη ορμόνη από την ωοθήκη. Το 1903, ο Fraenkel σε μια πολύ ενδιαφέρουσα δημοσίευση (εικόνα 18) παρουσιάζει τα αποτελέσματα από τη χορήγηση αποξηραμένου εκχυλίσματος ωοθήκης σε ασθενείς κατά την περιεμμηνοπαυσιακή περίοδο.(26) Όπως ήδη προαναφέρθηκε, από το 1905 οι Marshall και Jolly στη δημοσίευσή τους: «Συμβολή στη αναπαραγωγή των θηλαστικών» περιλαμβάνουν ένα κεφάλαιο με τίτλο: «H ωοθήκη ως όργανο έσω έκκρισης».(8) Το 1908 στη Βιέννη, οι Hitschmann και Adler έδειξαν ότι οι ιστολογικές μεταβολές του ενδομητρίου κατά τη διάρκεια του γεννητικού κύκλου της γυναίκας σχετίζονται άμεσα με τις αλλαγές που συμβαίνουν στην ωοθήκη.(27) Λίγο αργότερα, ο Robert Meyer (1911) (εικόνα 19),(28) ο Carl Ruge (1913)(29) και ο Robert Schroder (1913, 1915),(30) που διατέλεσε καθηγητής της γυναικολογίας στο Κίελο (1922-1936) (εικόνες 20,21), συσχέτισαν κατά απόλυτο τρόπο τόσο τις μακροσκοπικές όσο και τις μικροσκοπικές μεταβολές της ωοθήκης με εκείνες του ενδομητρίου.

25.

Eικόνα 25. Ο χημικός τύπος της προγεστερόνης.


26.

Eικόνα 26. Η μέτρηση των τριών κλασικών οιστρογόνων στα ούρα.


Από τις αρχές του 20ου αιώνα ο Ολλανδός van de Velde (1904) είχε παρατηρήσει μεταβολές στη βασική θερμοκρασία του γυναικείου σώματος κατά τη διάρκεια του γεννητικού κύκλου,(31) μελετώντας τη διαφοροποίηση της θερμοκρασίας σε πολυάριθμες γυναίκες. Τα ευρήματα αυτά επιβεβαιώθηκαν το 1929 από τις παρατηρήσεις του Τσέχου γυναικολόγου H. Knaus (1892-1970)(32) (εικόνα 22) και το 1930 του Ιάπωνα γυναικολόγου K. Ogino (1882-1975).(33) Οι μεταβολές της θερμοκρασίας συνδέθηκαν με την εγκατάσταση της εκκριτικής φάσης του κύκλου και την παραγωγή της προγεστερόνης. Έτσι δημιουργήθηκε η θεωρία των ασφαλών ημερών του κύκλου, κατά τις οποίες δεν είναι δυνατή η γονιμοποίηση. Όπως αποκαλύφθηκε αργότερα, η προγεστερόνη ασκεί θετική επίδραση στο θερμορυθμιστικό κέντρο του εγκεφάλου και προκαλεί την αύξηση της βασικής θερμοκρασίας του σώματος,(34) γεγονός που παρατηρείται και κατά τη διάρκεια της κύησης.
Το 1928, ο George Washington Corner (1889-1981) (εικόνα 23), καθηγητής της ανατομίας στο Πανεπιστήμιο του Rochester που είχε ασχοληθεί με τον γεννητικό κύκλο των ανθρωποειδών, ο Willard Myron Allen (1904-1993) (εικόνα 24), χημικός και την εποχή εκείνη φοιτητής της Ιατρικής στη Ιατρική Σχολή του Πανεπιστημίου του Rochester και αργότερα καθηγητής της μαιευτικής και γυναικολογίας στην Ιατρική Σχολή του Πανεπιστημίου George Washington, μαζί με τον Walter Bloor, που ήταν ειδικός χημικός των λιπιδίων, πήραν εκχυλίσματα από ωχρά σωμάτια και παρασκεύασαν ελαιώδες ενέσιμο διάλυμα. Με τη χορήγησή του πέτυχαν να εμφανισθεί εκκριτική δραστηριότητα στο ενδομήτριο ωοθηκεκτομηθέντων κονίκλων, όπως και την επιτυχή διατήρηση της εγκυμοσύνης μετά την εξαίρεση των ωοθηκών. Σε επόμενη δημοσίευση της ερευνητικής ομάδας υποστηρίζεται ότι το ωχρό σωμάτιο στον κόνικλο αποτελεί όργανο εσωτερικής έκκρισης, και μία από τις λειτουργίες του είναι η δράση του στο ενδομήτριο, που αποσκοπεί στην προστασία των βλαστιδίων και στη δημιουργία καταλλήλων συνθηκών για την εμφύτευσή τους. Επίσης, εξετάζεται η βιολογική δράση του νέου προϊόντος, για το οποίο προτείνεται το όνομα «progestin» (Corner και Allen 1929).(35)

27.

Eικόνα 27. Η μέτρηση της πρεγνανδιόλης στα ούρα.

Το 1934, οι Γερμανοί ανταγωνιστές Butenandt και Wertphal, στο Danzig, απομόνωσαν την προγεστερόνη από ωχρά σωμάτια σε κρυσταλλική μορφή (εικόνα 25) και της έδωσαν το όνομα «luteosterone»,(36) και τον ίδιο χρόνο από το ίδιο εργαστήριο απομονώθηκε ο μεταβολίτης της προγεστερόνης στα ούρα, η πρεγνανδιόλη.(37) Επίσης, το 1934 ο O. Wintersteiner μαζί με τον W.M. Allen απομονώνουν την κρυσταλλική «progestin»(38) σε πολύ μεγαλύτερη ποσότητα από εκείνη που είχε επιτύχει ο Butenandt, δηλαδή 75mg έναντι 20mg του τελευταίου. Τον ίδιο χρόνο και άλλα δύο επιστημονικά εργαστήρια απομονώνουν την προγεστερόνη. Τελικά το όνομα προγεστερόνη δόθηκε στο 2ο Διεθνές Συνέδριο για τα standards των ορμονών των γονάδων, το 1935. Ο όρος καθιερώθηκε παγκόσμια μετά από μακρές συζητήσεις, ως κοινά αποδεκτή λύση.
Μέχρι το 1953 παρέμεναν γνωστά τα τρία κλασικά οιστρογόνα και η πρεγνανδιόλη (εικόνες 26,27) και μετρούνταν ποσοτικά σε ούρα συλλογής 24ώρου.(39,40) Για τις μετρήσεις κυρίως χρησιμοποιούνταν χημικές μέθοδοι, όπως η μέθοδος Kober, μέθοδοι ανασοφθορισμού, ιστοχημικές μέθοδοι, αέριος χρωματογραφία κ.ά. Έτσι έγινε η αρχική προσπάθεια μελέτης και καταγραφής των ορμονικών μεταβολών κατά τη διάρκεια του φυσιολογικού γεννητικού κύκλου σε παθολογικές ενδοκρινολογικές καταστάσεις, όπως και η μελέτη της ορμονικής λειτουργίας της εμβρυοπλακουντιακής μονάδας. Σημαντικό γεγονός υπήρξε η εκ παραλλήλου ανακάλυψη των υποφυσιακών γοναδοτρόπων ορμονών (FSH & LH), της προλακτίνης και της χοριακής γοναδοτροπίνης. Σχεδόν παράλληλα επετεύχθη και η διαπίστωση του ρυθμιστικού ρόλου των γοναδοτροπινών στην έκκριση των ορμονών της ωοθήκης. Επίσης, η περιγραφή και η κατανόηση του φαινομένου της παλίνδρομης εκκριτικής αλληλορύθμισης μεταξύ των υποφυσιακών και των ωοθηκικών ορμονών υπήρξε ένα άλλο, εξίσου σημαντικό, ερευνητικό γεγονός.
Ακολουθεί στη συνέχεια η ανάπτυξη του ραδιοανοσολογικού προσδιορισμού των ορμονών,(41) που συνδυάζεται με την ανακάλυψη νέων ορμονών και των μεταβολιτών τους, ενώ αρχίζει να μελετάται ο ρόλος των ανδρογόνων των ωοθηκών και η συμβολή τους στην αναπαραγωγική λειτουργία.(42) Επιπλέον, διερευνώνται οι γνώσεις για τους ορμονικούς υποδοχείς στα όργανα στόχους(43) και διαπιστώνεται ο ρυθμιστικός ρόλος του υποθαλάμου, όπως και η παραγωγή και η κυκλοφορία υποθαλαμικών εκλυτικών ορμονών.(44)
Σε λιγότερο από 100 χρόνια, λίγο μετά τις αρχές του 20ου αιώνα και ακόμη πριν τη συμπλήρωσή του, ιδιαίτερα μέσα στη δεκαετία του 1930, συντελέστηκε μια εντυπωσιακή ανάπτυξη του κλάδου της ενδοκρινολογίας, αλλά και ειδικότερα του κλάδου της αναπαραγωγής.
Επιστήμονες υψηλού κύρους, αφοσιωμένοι στο καθήκον τους, δούλεψαν συστηματικά και με πάθος για την εις βάθος κατανόηση των φαινομένων που σχετίζονται με την ορμονική λειτουργία της ωοθήκης, την επίδρασή της στο γεννητικό σύστημα και την υποθαλαμο-υποφυσιακή της εξάρτηση. Η υψηλή επιστημονική απόδοση για το συλλογικό «χτίσιμο» των γνώσεων και της εμπειρίας της εποχής εκείνης ως προς την κλασική φυσιολογία και μικροσκοπική ανατομική δημιούργησαν τις κατάλληλες προϋποθέσεις για την σημερινή εκτίναξη των γνώσεων της ενδοκρινολογίας της αναπαραγωγής σε μοριακό επίπεδο, που φαίνεται πως θα οδηγήσει στην πλήρη κατανόηση της αναπαραγωγικής λειτουργίας.

Summary
Mantalenakis SJ.
The discovery of the ovarian hormones.
Hellen Obstet Gynecol 15(1):1-11, 2003
The ovary was described for the first time from the great anatomist Herophilus of Chalcedon professor of the Alexandrian Medical School the 4th century b.C who gave it the name female testis. The first century A.C. the father of obstetrics and gynecology Soranus of Ephesus named ovaries twins. Since then the ovary was referred by the anatomists Vesalius (1553) in Brussels and Malpighi (1661) in Bologna as a female testis. The Dutch physician Regnier de Graaf (1641-1673) in an important publication with tables (1672) described the ovarian follicle and the oviduct. A possible endocrine effect of the ovary was speculated by A. Berthold in 1849. The first experimental demonstrations of the existence of a hormone in ovary was given by a gynecologist Emil Knauer (1867-1935) in 1896 in Vienna, who later on became professor in Graz. He transferred ovaries in immature and castrated animals and found that the sex characters developed. In 1900 another gynaecologist in Vienna Josef von Halban (1870-1937) carried out similar experiments. Marshall and Jolly in 1905 were convinced about the endocrine nature of the ovary and supported the view that the ovarian excretion induces menstruation in the human and estrus in the animals and the corpus luteum maintains the gestation in animals. In 1909 the French Paul Bouin and Paul Ancel published interesting experimental data on the endocrine relation between ovarian function and genital system. In 1917 C. Stockard (1879-1939) and G. Papanikolaou (1883-1962) demonstrated that the vaginal epithelium undergoes characteristic changes during estrus. In 1923 Edgar Allen (1892-1943) and Edward Doisy (1893-1986) using bioassay in oophorectomized rats proved that the liquor of follicles contains estrus producing substance. Doisy suggested the term "theelin". In 1926, Loewe and Lange discovered an estrogenic substance in human urine and Sellman Ascheim (1927) extracted large amount of the hormone from pregnant womenΥs urine. Pure crystalline estrogenic hormone was eventually isolated by Butentandt (1929) and Doisy (1930). The chemical formula of the substance was that of "estrone". Brown (1930) isolated a less potent estrogenic steroid from the placenta which later was called "estriol". In 1936 MacCorquodale, working with Doisy crystallized the active ovarian hormone known as "estradiol". In 1936 the Council on Pharmacy and Chemistry of the American Medical Association, adapted the term "estrogen". The first synthetic estrogen (stilbestrol) was synthetized by Dodds in England (1938). The other potent substance of ovarian secretion, the progesterone, was first studied by Edward Pfluger (1863). Ludwig Fraenkel (1901) and Villhelm Magnus (1901), showed that the corpus luteum supported early pregnancy. In 1908 Hitschmann and Adler demonstrated the histological changes of the endometrial cycle and suggested that the ovary went through a corresponding cyclic change. Robert Meyer (1911) and Robert Schroder (1913, 1915) related structural changes in the endometrium to gross and histologic changes of the corpus luteum. In 1928 George Corner and Willard Allen obtained crude oily extracts of corpora lutea. Corner is credited with the discovery of the hormonal effect of progesterone (1929) and Butendandt isolated crystalline progesterone from corpora lutea in 1934. In 1930 Marrien and Butendandt identified a progestational sterole excreted in large amount in the urine of pregnant women, this was "pregnanediol".

ΒΙΒΛΙΟΓΡΑΦΙΑ
1. Vesalius A. De Humani Corporis Fabrica 1543.
2. De Graaf R. De Mulierum Organis Generationi Inservientibus. 1672:161 (Leiden: Lugdoni Batavorum).
3. Berthold AA. Transplantation der hoden. Arch Anat Phys Wissen Med 1849:42-6.
4. Brown-Sequard CE. Remarques sur les effets produits sur la femme par des injections sous-cutanŽes dΥun liquide retirŽ dΥovaires dΥanimaux. Arch Phsyiol Norm Pathol 1890; 2:456-7.
5. Knauer E. Einige Versuche uber Ovarientransplantation bei Kaninchen. Zentralbl Gynaekol 1896; 20:524-8.
6. Halban J. †ber den Einfluss der Ovarien auf die Entwicklung des Genitales. (Transplantation von Uterus, Tube, Ovarium). Mschr Geburtsh Gynaekol 1900; 12:496-505.
7. Bayliss WM, Starling EH. The chemical regulation of the secretory process. Proc R Soc Ser B 1904; 73:310-5.
8. Marshall FHA, Jolly WA. Contribution to the physiology of mammalian reproduction. II. The ovary as an organ of internal secretion. Phil Trans R Soc Lond Ser B 1906; 198:99-141.
9. Bouin P, Ancel P. Sur la fonction de corps jaune. Action du corps jaune vrai sur lΥuterus. C R Soc Biol 1909; 66:505-7.
10. Iscovesco H. Le Lipo•de utero stimulant de lΥovaire. PropriŽtŽs physiologiques. C R Soc Biol 1912; 63:104-6.
11. Stockard CR, Papanicolaou GN. The existence of a typical oestrus cycle in the guinea pig, with a study of its histological and physiological changes. Am J Anat 1917; 22:225-84.
12. Allen E, Doisy EA. An ovarian hormone. Preliminary report on its localization, extraction and partial purification. J Am Med Assoc 1923; 81:819-22.
13. Parkes AS, Bellerby CW. Studies on the internal secretion of the ovary. 1. The distribution in the ovary of the oestrus-producing hormone. J Physiol (London), 1926; 61:562-75.
14. Loewe S, Lange F. Der Gehalt des Frauenharnes an brunsterzeugenden Stoffen in AbhŠngigkeit vom ovariellen Zyklus. Klein Wchschr 1926; 5:1038-9.
15. Aschheim S. Weiterer Untersuchungen Ÿber Hormone und Schwangerschaft. Das Vorkommen der Hormone im Harm der Schwangeren. Arch Gynaekol 1927; 132:179-83.
16. Butenandt A. On "Progynon" a crystallized female sexual hormone. Naturwissenschaften 1929; 17:879-82.
17. Doisy EA, Veler CD, Thayer S. Folliculin from urine of pregnant women. (Abstract) Am J Physiol 1929; 90:329-30.
18. Doisy EA, Veler CD, Thayer S. The preparation of the crystalline ovarian hormone from the urine of pregnant women. J Biol Chem 1930; 86:499-509.
19. Marrian GF. The chemistry of oestrin. III. An approved method of preparation and the isolation of active crystalline material. Biochem J 1930; 24:435-9.
20. MacCorquodale DW, Thayer SA, Doisy EA. The isolation of the principal estrogenic substance of liquor folliculi. J Biol Chem 1936; 115:535-51.
21. Dodds EC, Lawson W, Noble RL. Biological effects of the synthetic estrogenic substance 4: 4-dihydroxy-alpha: Beta-diethyl-stilbene. Lancet 1938; 1:1389-91.
22. Pfluger EFW. Uber die Eierstocke der Saugethiere und des Menschen. (Leipzig: Englemann), 1863.
23. Prenant A. La valeur morphologique du corps jaune. Son action physiologique et thŽrapeutique possible. Rev Gen Sci Pure Appl 1898; 9:646-50.
24. Fraenkel L, Cohn F. Experimentelle Untersuchungen Ÿber den Einfluss des Corpus Luteum auf die Insertion des Eies. Anat Anz 1901; 20:294-300.
25. Magnus V. Ovariets betydning for svangerskabet med saerligt hensyn til corpus luteum. Nor Mag Laefevidensk 1901; 62:1138-45.
26. Fraenkel L. Die Funktion des Corpus Luteum. Arch GynŠk 1903; 8:438-41.
27. Hitschmann F, Adler L. The structure of the endometrium of sexually mature women with special reference to menstruation. Mschr Geburtsh Gynaekol 1908; 7:1-82.
28. Meyer R. Uber Corpus Leteumbildung beim Menschen. Zentralbl Gynecol 1911; 3:1206-8.
29. Ruge C. Vulation, Corpus Luteum und Menstruation. Arch Gynaekol 1913; 100:20-8.
30. Schršder R. Anatomische Studien zur normalen und pathologischen Physiologie des Menstruationszyklus. Archiv Gynaekol 1915; 4:27-102.
31. Velde ThH. van. de †ber den Zusammenhang zwischen Ovarialfunktion, Wellenbewegung und Menstrualblutung und Ÿber die Entstehung des so genannten. Mittelschmerzes. Haarlem, The Netherlands: De Erven F. Bohn, 1904.
32. Knaus H. Eine neue Methode zur Bestimmung des Ovulationstermines. Zentralbl GynŠkol 1929; 53:2193-9.
33. Ogino K. Ovulationstermin und Konzeptionstermin. Zentralbl GynŠkol 1930; 54:469-75.
34. Barton M, Wiesner BP. Thermogenic effect of progesterone. Lancet 1945; 2:671-8.
35. Corner GW, Allen WM. Physiology of the corpus luteum. 11. Production of a special uterine reaction (progestational proliferation) by extracts of the corpus luteum. Am J Physiol 1929; 88:326-31.
36. Butenandt AFJ, Westphal U. Zur Isolierung und Characterisierung des Corpus-Luteum-Hormons. Ber Dtsch Chem Ges 1934; 67:1440-2.
37. Butenandt A. On pregnanediol, a new steroid derivative from pregnant urine. Ber Chem Ges 1930; 3:659-63.
38. Wintersteiner O, Allen WM. Crystalline Progestin. J Biol Chem 1934; 107:321-36.
39. Brown JB. Urinary excretion of oestrogen during the menstrual cycle. Lancet 1955; 1:320-7.
40. Klopper A. The excretion of pregnanendiol during the normal menstrual cycle. J Obstet Gynaecol Br Emp 1957; 64:504-9.
41. Yalow RS, Berson SA. Immunoassay of endogenous plasma insulin in man. J Clin Invest 1960; 39:1157-62.
42. McNatty KP, Makris A, De Grazia C, Osathanondh R, Ryan KJ. The production of progesterone, androgens and estrogens by granulosa cells, thecal tissue and stromal tissue from human ovaries in vitro. J Clin Endocrinol Metab 1979; 49:687-99.
43. Jensen EV, De Sombre ER. Estrogen-receptor interaction. Science 1973; 182:126-31.
44. Matsuo H, Baba Y, Baur RM, Schally AV. Structure of the porcine LH- and FSH- releasing hormone. Biochem Biophys Res Commun 1971; 43:133-9.




ΗΟΜΕPAGE


<<< Προηγούμενη σελίδα